基于切比雪夫多項式的數控機床幾何誤差參數化建模
2017-12-29 來源: 浙江衢州廣播電視 浙江大學機械工程 作者:郭然 付國強 孫磊 傅建中
摘要: 為了快速精確地建立機床幾何誤差項數學模型,提出了一種基于切比雪夫多項式的參數化建模方法。首先針對測量得到的機床基本幾何項數據,將機床相應運動軸進給量轉化為切比雪夫變量。其次將切比雪夫變量代入不同階次的切比雪夫多項式得到相應的值。然后根據切比雪夫基函數值和切比雪夫變量用多元線性回歸方法獲得相應的系數,得到關于切比雪夫基函數的數學模型。最后將運動軸進給量與切比雪夫變量之間的轉化關系代入得到基本幾何誤差項的數學模型。建模過程簡單且易程序化,切比雪夫多項式的高逼近精度使得建立的模型精度高。將所有幾何誤差項參數化模型代入機床幾何誤差模型綜合數學模型,從而可得到機床工作空間幾何誤差場分布。以MV-5A 三軸立式加工中心為例,將各個幾何誤差項參數化模型代入機床幾何誤差模型中得到該機床綜合幾何誤差數學模型,進而得到該機床工作空間幾何誤差場分布,為機床設計和誤差補償提供了理論依據。
關鍵詞: 數控機床 幾何誤差 參數化建模 切比雪夫多項式
引言
隨著制造業的快速發展以及工件精度要求和復雜度的提高,對機床精度的要求越來越高。機床幾何誤差和熱誤差是影響機床加工精度的主要因素,占60%以上[1 - 2]。而幾何誤差的建模和補償是提高機床精度的一種重要途徑。數控機床幾何誤差建模大多是基于多體理論建立齊次變換矩陣得到機床幾何誤差[3 - 6]。同時坐標系之間的微分變換關系和指數積理論也分別被用來進行誤差建模和補償[7 - 9]。根據模型進行補償的前提是數控機床基本幾何誤差項數據。三軸數控機床的21 項幾何誤差可通過激光干涉儀、球桿儀、激光跟蹤儀等裝置采用相應的測量方法得到。得到的誤差項數據是離散數據,反映了機床行程一系列點的誤差,這就需要建立機床基本誤差項的參數化模型,即建立相應的數學表達式。很多學者采用了不同的方法來建立基本誤差項的模型[10 - 11]。Fan 等[12]引入正交多項式回歸法根據測量得到的誤差數據建立機床主軸熱誤差模型,又采用正交多項式回歸法建立機床幾何誤差項數學模型[13]。Lee 等根據幾何誤差項的性質建立了合理的多項式模型,然后進行誤差測量辨識得到相應的系數[14]。
切比雪夫多項式在函數逼近方面比泰勒展開式有更高的精度。切比雪夫多項式已經在數字信號處理、衛星軌道、氣象學中得到廣泛應用[15]。相比于最小二乘法多項式擬合,隨著擬合次數的增加,切比雪夫多項式各部分誤差減小,精度增加[16]。本文提出一種基于切比雪夫多項式的機床幾何誤差項參數化建模方法。首先根據辨識得到的數據,結合幾何切比雪夫多項式性質,將機床位移變量進行變換。然后計算得到各個不同次數的切比雪夫多項式基函數的系數,接著代入機床位移變量轉換關系展開得到相應的幾何誤差項參數化模型。將幾何誤差項參數化模型代入機床綜合幾何誤差模型得到相應數學模型,從而可計算得到機床誤差場分布,為機床設計和補償奠定基礎。
1、 數控機床幾何誤差建模
三軸數控機床有21 項幾何誤差項。因為每個物體在空間上存在6 個自由度,所以每個運動軸存在6 項基本誤差項,包括3 項線性誤差和3 項轉角誤差。圖1 表示了X 軸的6 項基本誤差項。其中δxx、δyx、δzx分別是X、Y、Z 方向的線性誤差,εxx、εyx、εzx分別表示繞X、Y、Z 軸的轉角誤差。同時由于安裝制造等原因,各個運動軸之間很難保證絕對的垂直,所以運動軸之間存在垂直度誤差。其中X 軸和Y 軸之間的垂直度誤差為Sxy,X 軸和Z 軸之間的垂直度誤差為Sxz,而Y 軸和Z 軸之間的垂直度誤差為Syz。那么三軸數控機床存在18 項幾何誤差和3 項垂直度誤差。

圖1 X 軸6 項基本誤差項示意圖
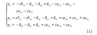
幾何誤差建模是誤差補償的基礎。本文以三軸立式加工中心MV-5A 為例,為XYFZ 型機床。圖2 所示為XYFZ 型機床結構簡圖。該三軸數控機床可視為一個開環運動鏈,該運動鏈為工作臺—X 軸—Y 軸—床身—Z 軸—刀具。可以采用指數積理論對機床進行幾何誤差建模,那么機床刀具相對于工作臺的位置誤差可表示為

其中x、y、z 分別表示X、Y、Z 軸的位移,px、py、pz分別表示刀具在X、Y、Z 方向上的位置誤差。為了能夠方便補償或者得到機床整個工作空間的誤差場分布,機床誤差模型應該用數學表達式來表示,這樣機床工作空間內任意位置處誤差都可得到。而各個誤差項的參數化建模是基礎,首先應建立誤差項相應的數學表達式模型。

圖2 XYFZ 型機床結構簡圖
2 、幾何誤差項參數化建模
三軸數控機床的21 項幾何誤差中,垂直度誤差與機床運動軸位移無關,是恒定值。而運動軸基本誤差項會隨著軸進給量的變化而變化,同時只與軸本身位移有關,與其他軸無關,則運動軸基本誤差項可表示為關于其位移的數學表達式。將各個誤差數學模型代入機床綜合幾何誤差模型就能夠得到機床綜合幾何誤差的數學表達式。MV-5A 三軸立式加工中心幾何誤差項可用激光干涉儀采用9 線法辨識得到。下面根據辨識得到的MV-5A 機床幾何誤差項數據,采用切比雪夫多項式對幾何誤差進行參數建模。
2. 1 切比雪夫多項式
切比雪夫多項式是以遞歸方式定義的一系列正交多項式。第1 類切比雪夫多項式的根用于多項式插值時可最大限度的降低龍格現象,可實現連續函數的最佳逼近。則第1 類切比雪夫多項式可由以下遞推關系得到,即

數。基于切比雪夫多項式進行擬合時,需要將變量定義域轉換為[- 1,1],來確保切比雪夫多項式的精確性。切比雪夫多項式可用到幾何誤差項的參數化建模中。
2. 2 參數化建模步驟
MV-5A 三軸數控機床X 軸基本誤差項見表1。以X 軸x 方向的線性誤差δxx為例進行基于切比雪夫多項式的參數化建模。
( 1) 機床X 軸行程為600 mm,應轉換到切比雪夫多項式定義域[- 1,1]內,則需要對其進行線性歸一化,相應的變量轉換關系為

( 2) 構建不同次數的切比雪夫多項式基函數,并計算每個測量位置處對應的不同次數的切比雪夫值。表2 所示為不同項的切比雪夫基函數值。前5 項切比雪夫多項式可表示為

表1 X 軸6 項幾何誤差數據

表2 不同次數的切比雪夫基函數值

( 3) 計算切比雪夫多項式基函數對應的回歸系數。幾何誤差項的切比雪夫多項式模型可表示為

其中αi是切比雪夫多項式回歸系數。采用最小二乘法進行曲線擬合得到回歸系數,回歸系數與誤差數據之間的關系可表示為


A 和B 矩陣可根據式( 5) 中相應的表達式代入測量數據計算獲得,從而計算得到切比雪夫多項式回歸系數。這里對于表1 中的δxx,m = 11,選擇3 階切比雪夫多項式進行擬合,即k = 3 進行計算,則式( 5) 表示為

得到的關于切比雪夫多項式基函數的擬合多項式為

( 4) 將切比雪夫基函數代入基于切比雪夫多項式的擬合函數中得到關于切比雪夫變量的多項式。即將式( 3) 代入到式( 4) 中可得到

( 5) 根據變量轉換關系得到最終的基本誤差參數化模型和誤差曲線。即將式( 2) 代入到式( 6) 中得到基本誤差項關于運動軸進給量的多項式數學模型。δxx數學模型可表示為

圖3 為δxx誤差的切比雪夫多項式擬合曲線以及相應的殘差曲線。

圖3 δxx誤差擬合曲線及相應的殘差曲線
基于切比雪夫多項式的幾何誤差參數化建模可以得到幾何誤差的數學模型。切比雪夫多項式基函數將多項式擬合過程轉換為多元線性回歸,這樣使得計算簡單且易程序化。且由于切比雪夫多項式的逼近精度高,建立的數學模型的精度和準確性大大提高。整個參數化建模過程可實現程序化,實現幾何誤差的自動化建模。圖4 為基于切比雪夫多項式的幾何誤差參數化建模流程圖。三軸數控機床18 項基本幾何誤差項按照此方法建立相應的參數化數學模型,然后將數學模型代入機床綜合幾何誤差模型中得到機床綜合幾何誤差的完整數學模型。

圖4 基于切比雪夫多項式的幾何誤差參數化建模流程圖
3 、實驗
采用美國光動公司的MCV-500 型激光干涉儀測量MV-5A 三軸立式加工中心的幾何誤差項。由于MCV-500 型激光干涉儀可以同時測量定位誤差和直線度誤差,所以采用9 線法來測量幾何誤差。圖5 所示為激光干涉儀測量機床幾何誤差。然后根據提出的基于切比雪夫多項式的幾何誤差參數化建模方法建立各個基本誤差項的數學模型。X、Y 和Z軸的基本幾何誤差數學模型為



圖6 為X 軸基本誤差項數學模型曲線,包括3 項線性誤差和3 項轉角誤差。X 軸線性誤差的殘差為[- 1. 269,1. 20]μm,轉角誤差數學模型的殘差范圍為[- 1. 64,2. 29]μrad。圖7 表示Y 軸的基本誤差項數學模型曲線。圖8 表示Z 軸的基本誤差項數學模型曲線。建立的基本誤差參數化模型精度足夠高,可以很好地表示誤差數據。將基本誤差項模型代入式( 1) 得到MV-5A 三軸立式加工中心的幾何誤差數學模型為


圖5 激光干涉儀測量機床幾何誤差

圖6 X 軸基本誤差項數學模型曲線

圖7 Y 軸基本誤差項數學模型曲線

圖8 Z 軸基本誤差項數學模型曲線


該模型即關于X、Y、Z 軸運動量的表達式。機床工作空間上任意一點的幾何誤差都可以根據此數學模型計算得到。建立的綜合誤差數學模型可以很好地預測機床的幾何誤差,可以得到機床的誤差場分布,機床幾何誤差場分布可以為幾何誤差補償提供幫助,為后續補償奠定基礎。圖9 表示了在z =100 mm 處工作平面上的Z 方向上的幾何誤差以及綜合線性誤差分布。圖10 顯示了機床整個工作空間的誤差場分布。通過對誤差場分析可以得到機床部件安裝、制造對機床精度的影響,有利于提高機床精度。比如可分析得到機床導軌的制造與安裝對機床的影響,從而對導軌進行調整來提高機床精度。誤差場分布也有助于機床的設計制造。

圖9 在z = 100 mm 平面處誤差分布

圖10 工作空間的幾何誤差場
4 、結束語
數控機床幾何誤差項參數化模型是建立機床幾何誤差數學模型和進行補償的基礎。本文運用切比雪夫多項式提出了幾何誤差項參數化建模方法。切比雪夫多項式基函數將多項式擬合過程轉換為多元線性回歸,這樣使得計算簡單且易程序化。以MV-5A 三軸立式加工中心測量得到的δxx為例闡述參數化建模過程,首先根據幾何誤差項測量數據建立機床運動量和切比雪夫多項式變量之間的轉換關系。然后根據切比雪夫多項式基函數計算不同階次的切比雪夫多項式值。接著采用最小二乘法得到切比雪夫多項式基函數的系數,從而得到關于切比雪夫變量的多項式模型。最后代入機床運動量和切比雪夫342 農業機械學報2 0 1 5 年變量轉換關系得到幾何誤差項參數化模型。機床18 項基本誤差項都可得到參數化模型,由于切比雪夫多項式的逼近精度高,建立的參數化模型的精度和準確性大大提高,且整個參數化建模過程實現了程序化,從而實現了幾何誤差的自動化建模。
投稿箱:
如果您有機床行業、企業相關新聞稿件發表,或進行資訊合作,歡迎聯系本網編輯部, 郵箱:skjcsc@vip.sina.com
如果您有機床行業、企業相關新聞稿件發表,或進行資訊合作,歡迎聯系本網編輯部, 郵箱:skjcsc@vip.sina.com